在上一篇文章中,小编为您详细介绍了关于《送餐送货机器人、自动驾驶车、扫地机器人,再也不用担心撞上玻璃橱窗了丨CVPR2020》相关知识。本篇中小编将再为您讲解标题电影院今天复工,应该如何排座位?这是个数学家研究了几百年的问题。
原标题:电影院今天复工,应该如何排座位?这是个数学家研究了几百年的问题 来源:量子位
关注前沿科技
晓查 编译整理
量子位 报道 | 公众号 QbitAI
今天,国内电影院在停业将近半年后终于复工了。为了保持合理的隔离距离,国家电影局规定每场电影的上座率不得超过30%。
那么问题来了:
如果有一间要影厅要复工,在保持安全距离的情况下,如何才能尽可能多的安排观影人群?
这个问题,在当初办公室复工的时候也同样适用。

我们先来把这个问题转化成一个几何问题:
把每个人所在的位置看做圆心,隔离距离的一半(也就是3英尺)为半径画圆。怎样才能让这些圆排列得最密。
这个问题在现实中似乎有个最佳答案,我们可以买来一箱汽水,看看厂商怎么排列一罐罐圆形的汽水的。

上面可乐罐的这种排列方法叫做“正方形堆积”,因为将每个圆的圆心连接起来是正方形。

我们来算算这种饮料包装究竟能占据多少比例的空间。

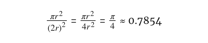
假设上图中圆的半径是r,那么正方形的边长就是2r。圆的面积是πr2,正方形的面积是(2r)2。
那么这种排列方法所占的面积比例为:

也就是说平面有78.54%的面积被圆覆盖,这是正方形堆积的密度。难道这就是效率最高的排列方式了吗?
不难发现,其实还有一种排得更紧密的方法,将一排的可乐滑动到另一排的缝隙中,这种排列方式被叫做“六角堆积”。

这样圆之间的缝隙更小,排列的密度也更高了。实际情况怎样,我们来算算。
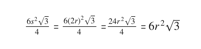
每个六角形内都是有1个整圆和6个1/3圆,所以相当于有3个整圆。

假设圆的半径是r,六边形边长是s=2r,根据六边形面积计算公式:

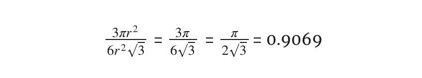
而一个六边形内共有3个整圆,所以圆占据的面积是:

可以看到,填充率一下子提升到了90.69%,六角比正方形排列的效率更高。实际上也没有其他方法比六角排列的填充率更高了。
但这个显而易见的结论要获得严格的数学证明却易事,包括拉格朗日、高斯等数学大神为之付出大量努力,直到1940年代,这个问题才得到严格证明。
既然六角排列的效率更高,为何饮料要采用正方形排列?那是因为饮料外包装箱一般是方形,如果用六角排列,反而无法照顾到边角。
倘若边角占据的面积较小,那么90.69%相比78.54%带来的提升还是能把边角浪费的空间弥补回来。
到了三维空间,情况更为复杂。如何让球体排列的密度更高,需要一层一层来。
第一层,我们用六角堆积的方式占据尽可能多的空间:

每3个球体之间都有1个孔隙,按照二维空间的方式,把第二层球体插入到孔隙中。但是我们不可能把每个孔隙都放上球体,因为相邻孔隙之间的距离小于球体的直径,我们只能间隔插入。就像下面这样:

接下来第三层怎么排列,有两种选择:
一种方式是堆积六角堆积(HCP),就是填补如下的孔洞:

这样就相当于第三层球位置与第一层一样。从上面俯看下去,第一层和第三层重合,也就是ABABAB……的排列方式。

另一种是面心立方(FCC),填充以下位置:

从上面俯看下去,一二三层互不重合,也就是ABCABC……的排列方式。

如果你小时候垒过玻璃球,那么一般都会垒成面心立方。

巧合的是,两种排列方式占据的空间比例都是

虽然填充空间的比例一样,但这在物理和化学中却是两种完全不同的排列方式。
如果把球体看做是原子,那么怎么排列就决定了这种物质的晶体结构,也会影响其物理化学性质。
六角堆积和面心立方是不是三维空间中最密集的堆积方式呢?
早在1611年,著名天文学家开普勒就提出了这种猜想,但是直到1998年,才由数学家托马斯·黑尔斯(Thomas Hales)提供完整的证明。
至此,2维、3维的情况都已经完全解决,但是在维度更高的空间里,哪种方式的排列密度最高,数学家们一直没有解决,即使只是到4维。
直到2016年传来了一个好消息,8维和24维空间的最密堆积问题已经被一位乌克兰女数学家Maryna Viazovska证明。

为何偏偏是这两种维数?因为随着维度的增加,n维球与它的外切立方体的体积之比也越来越小。这一点有个直观的理解方法:
n维立方体有2^n个角,而边角是球体填充不到的地方,边角数会随着维度增加,所以球体填充率降低也在意料之中。
8维和24维中的球体收缩得恰到好处,让球体之间的的孔隙正好能被另一相同同半径球体填充,从而获得了一种特殊的超密堆积。
现在科学家已经解决了1、2、3、8、24维的最密堆积情况,还有更多的维度等着他们去探索。
参考链接:
https://www.quantamagazine.org/the-math-of-social-distancing-is-a-lesson-in-geometry-20200713/
人类未来20年最重要的航天任务——登陆火星,已经启动!这场征服星辰大海的征程,将彻底改变我们的未来。
什么是火星探索,为什么要远征未来,如何培养科学探索的精神?
中国空间探测技术首席科学传播专家庞之浩,最新推出讲给孩子的火星课《登陆火星》,在其中深入浅出地讲解火星探索史+航天知识,回答了你还不知道的种种好奇疑问。
现在这一精心打磨的课程正在超值预售中,定价99元,目前限时半价,仅49元。让孩子爱上探索宇宙,培养科学思维,现在就开始吧~
给孩子的火星课
限时半价中
编后语:关于《电影院今天复工,应该如何排座位?这是个数学家研究了几百年的问题》关于知识就介绍到这里,希望本站内容能让您有所收获,如有疑问可跟帖留言,值班小编第一时间回复。 下一篇内容是有关《「任天堂直面会mini」今晚放送重点铺示合作厂商游戏》,感兴趣的同学可以点击进去看看。
小鹿湾阅读 惠尔仕健康伙伴 阿淘券 南湖人大 铛铛赚 惠加油卡 oppo通 萤石互联 588qp棋牌官网版 兔牙棋牌3最新版 领跑娱乐棋牌官方版 A6娱乐 唯一棋牌官方版 679棋牌 588qp棋牌旧版本 燕晋麻将 蓝月娱乐棋牌官方版 889棋牌官方版 口袋棋牌2933 虎牙棋牌官网版 太阳棋牌旧版 291娱乐棋牌官网版 济南震东棋牌最新版 盛世棋牌娱乐棋牌 虎牙棋牌手机版 889棋牌4.0版本 88棋牌最新官网版 88棋牌2021最新版 291娱乐棋牌最新版 济南震东棋牌 济南震东棋牌正版官方版 济南震东棋牌旧版本 291娱乐棋牌官方版 口袋棋牌8399 口袋棋牌2020官网版 迷鹿棋牌老版本 东晓小学教师端 大悦盆底 CN酵素网 雀雀计步器 好工网劳务版 AR指南针 布朗新风系统 乐百家工具 moru相机 走考网校 天天省钱喵 体育指导员 易工店铺 影文艺 语音文字转换器