工信部:5月份规模以上电子信息制造业增加值同比增长10.8%

发表时间:2020-07-04 14:14:35 作者:编辑部 来源:游戏王国 浏览:

在上一篇文章中,小编为您详细介绍了关于《最初那帮特斯拉车主 现在归保时捷了》相关知识。本篇中小编将再为您讲解标题工信部:5月份规模以上电子信息制造业增加值同比增长10.8%。

  总体情况

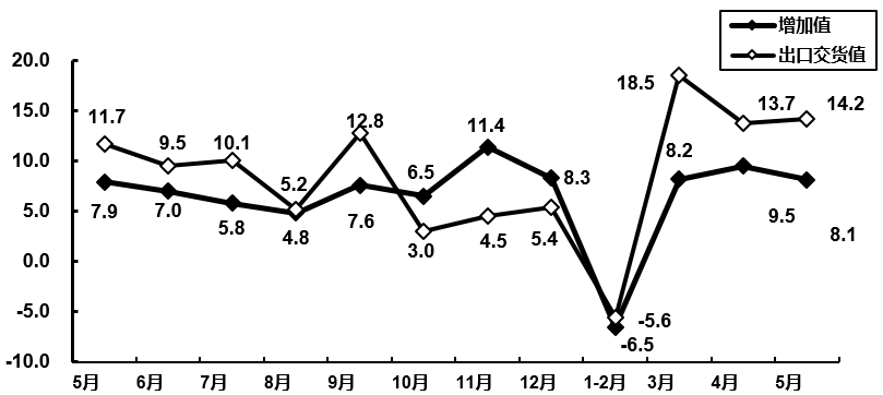
  5月份,规模以上电子信息制造业增加值同比增长10.8%,增速同比增加0.2个百分点。1-5月,规模以上电子信息制造业增加值同比增长3.7%,增速比去年同期回落5.7个百分点。

  5月份,规模以上电子信息制造业出口交货值同比增长12.7%,比去年同期加快12.5个百分点。1-5月,规模以上电子信息制造业出口交货值同比增长1.5%,较去年同期下降2.4个百分点。

图1  2020年5月电子信息制造业增加值和出口交货值分月增速(%)图1  2020年5月电子信息制造业增加值和出口交货值分月增速(%)

  1-5月,规模以上电子信息制造业实现营业收入同比增长1.3%,利润总额同比增长34.7%(去年同期为下降13%)。营业收入利润率为4.25%,营业成本同比增长0.9%,5月末,全行业应收账款同比增长12.3%。

图2  2020年1-5月电子信息制造业营业收入、利润增速变动情况(%)图2  2020年1-5月电子信息制造业营业收入、利润增速变动情况(%)

  5月,电子信息制造业生产者出厂价格同比下降0.9%,降幅比上月收窄0.1个百分点。1-5月,电子信息制造业生产者出厂价格同比下降1.6%。

图3   2020年5月电子信息制造业PPI分月增速(%)图3   2020年5月电子信息制造业PPI分月增速(%)

  1-5月,电子信息制造业固定资产投资同比增长6.9%,同比加快0.7个百分点。

图4   2020年1-5月电子信息制造固定资产投资增速变动情况(%)图4   2020年1-5月电子信息制造固定资产投资增速变动情况(%)

  

  主要分行业情况

  (一)通信设备制造业

  5月,通信设备制造业增加值同比增长15.6%,出口交货值同比增长3.8%。主要产品中,手机产量同比下降9%,其中智能手机产量同比增长8.4%。

图5   2020年5月通信设备行业增加值和出口交货值分月增速(%)图5   2020年5月通信设备行业增加值和出口交货值分月增速(%)

  1-5月,通信设备制造业营业收入同比下降0.5%,利润同比增长70.3%。

  (二)电子元件及电子专用材料制造业

  5月,电子元件及电子专用材料制造业增加值同比增长2.9%,出口交货值同比增长11.4%。主要产品中,电子元件产量同比增长55.8%。

图6   2020年5月电子元件行业增加值和出口交货值分月增速(%)图6   2020年5月电子元件行业增加值和出口交货值分月增速(%)

  1-5月,电子元件及电子专用材料制造业营业收入同比增长1.6%,利润同比增长33.6%。

  (三)电子器件制造业

  5月,电子器件制造业增加值同比增长8.1%,出口交货值同比增长14.2%。主要产品中,集成电路产量同比增长3.4%。

图7   2020年5月电子器件行业增加值和出口交货值分月增速(%)图7   2020年5月电子器件行业增加值和出口交货值分月增速(%)

  1-5月,电子器件制造业营业收入同比增长3.0%,利润同比增长7.8%。

  (四)计算机制造业

  5月,计算机制造业增加值同比增长20.4%,出口交货值同比增长27.4%。主要产品中,微型计算机设备产量同比增长27.5%;其中,笔记本电脑产量同比增长28.6%,平板电脑产量同比增长25.4%。

图8   2020年5月计算机制造业增加值和出口交货值分月增速(%)图8   2020年5月计算机制造业增加值和出口交货值分月增速(%)

  1-5月,计算机制造业营业收入同比增长6.0%,利润同比增长41.6%。

  (文中统计数据除注明外,其余均为国家统计局数据或据此测算)

  来源:工业和信息化部运行监测协调局

编后语:关于《工信部:5月份规模以上电子信息制造业增加值同比增长10.8%》关于知识就介绍到这里,希望本站内容能让您有所收获,如有疑问可跟帖留言,值班小编第一时间回复。 下一篇内容是有关《美团王兴:有些人都没试过理想ONE 就凭经验唱衰》,感兴趣的同学可以点击进去看看。

资源转载网络,如有侵权联系删除。

相关资讯推荐

相关应用推荐

玩家点评

条评论

热门下载

  • 手机网游
  • 手机软件

热点资讯

  • 最新话题